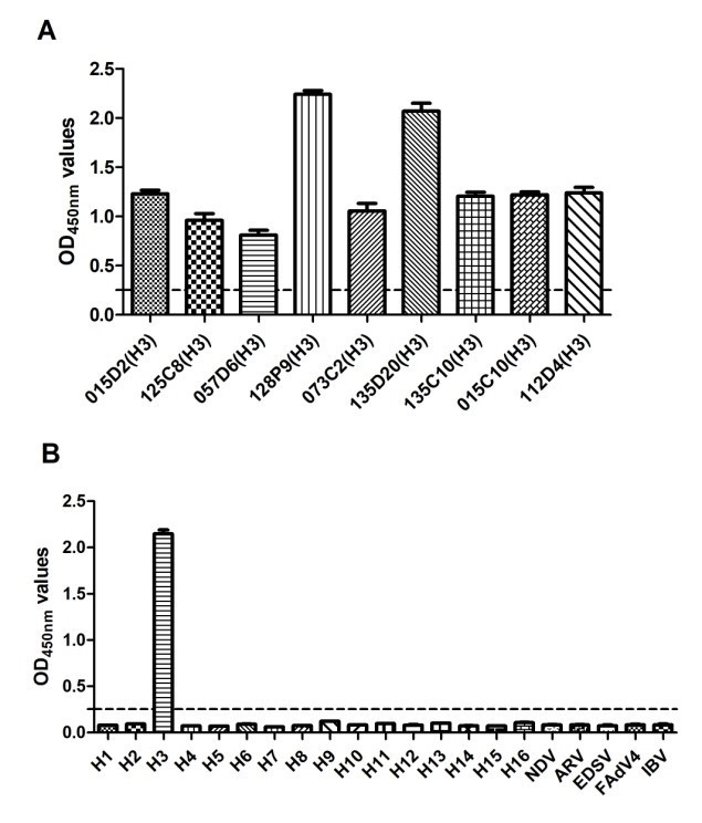
广西壮族自治区兽医研究所兽医生物技术室在单克隆抗体(mAb)制备和病原检测方法上取得新进展,研制出H3亚型禽流感的mAb,基于mAb建立夹心ELISA方法,用于H3亚型AIV的有效诊断。相关研究结果以“Production and identification of monoclonal antibodies and development of a sandwich ELISA for detection of the H3-subtype avian influenza virus antigen”为题,于2020年3月14日在线发表在SCI期刊《AMB 速递(AMB Express)》。
禽流感病毒(Avian Influenza virus, AIV)属于正黏病毒科A型流感病毒属,根据血凝素(HA)和神经氨酸酶(NA)抗原性的差异,目前已发现18种HA亚型和11种NA亚型。H3亚型AIV是常见的亚型,在禽流感监测中常被检测到,因此,建立适用于大批量检测H3亚型AIV的方法十分迫切。mAb具有特异性强、纯度高、均质性好、亲和力高、重复性好和效价高等优点。因此,我们先制备mAb,即通过病原免疫小鼠,将小鼠的脾细胞和骨髓瘤细胞融合,筛选出稳定分泌特异H3亚型AIV的杂交瘤细胞株,接种小鼠腹腔收集腹水得到该mAb;利用研制好的mAb作为检测抗体建立夹心ELISA方法,结果表明该法特异性强、灵敏性高,可应用于大批量筛查H3亚型AIV的感染。

罗思思副研究员和邓显文研究员为该论文共同第一作者,谢芝勋研究员为论文通讯作者。该研究得到广西科技重大专项(桂科AA17204057)、广西科技基地和人才专项(桂科AD16380009,AD17195083)、“广西八桂学者”专项和国家“万人计划”领军人才专项资助。
